Last Updated, October 2, 1996
Smalltalk lacks mechanisms for defining private classes and private methods. Without private classes, class naming conflicts can occur. Without private methods, encapsulation suffers. While global name spaces can help resolve class naming conflicts, first-class subsystems with private classes can resolve both problems.
INTRODUCTION
Once a Smalltalk developer has learned the
		essentials of object-oriented design and programming, new issues regarding
		object system design and systematic reuse begin to surface. There are two
		factors that contribute to design and reuse problems in Smalltalk - both
		related to visibility: 1) all classes are visible to (and usable by) all other
		classes - Smalltalk has a single global name space, and 2) all the methods of a
		class are visible to (and usable by) its clients - in spite of the fact that
		some of its methods may be intended for the private use of the class. 
This paper considers these issues and proposes a single remedy for both problems, without changing the Smalltalk language and with relatively minor changes to the development environment.
The Name Space Problem
Because classes are globals in
		Smalltalk, they are all visible to all other classes (as well as the
		programmer). This visibility is excessive. It can contribute to information
		overload for novice (as well as experienced) Smalltalk programmers. It can also
		cause class naming conflicts when teams of developers integrate class libraries
		that have been developed separately.
Few Smalltalk environments include facilities and tools for integrating and organizing large libraries of Smalltalk classes, though some environments and third-party products provide tools for organizing Smalltalk source code into more manageable units (e.g., packages, applications, ...). While these facilities help to reduce the number of classes immediately visible to a programmer, they do not eliminate the problem of having a single name space.
Adding prefixes to class names has become the common practice for dealing with this limitation. This practice helps prevent conflicts for commonly used names. However, while class name prefixes prevent potential name conflicts, they degrade the readability and understandability of the class names. Understanding degrades further when the prefixes abbreviate what should be meaningful subsystem names.
Previous Approaches to Name Space Partitioning
There are only
		a few workable approaches to partitioning the Smalltalk class name space.
		Modular Smalltalk [Wirfs-Brock, 1988] addressed
		some of the issues related to the name space problem. However, Modular
		Smalltalk redefined some of the fundamental characteristics of the language and
		its development environment.
While there are clear benefits to be gained from a static version of the Smalltalk language (e.g., better performance at runtime), it remains unclear whether some of the existing benefits of Smalltalk might be sacrificed (e.g., dynamic and rapid application development). Perhaps the best of both worlds can be integrated into some future Smalltalk environment. Smalltalk MT looks promising in this regard.
Meanwhile, other commercial Smalltalk implementations still show the early origins of Smalltalk as an interpreted language. Objects and classes are defined and constructed dynamically using messages. These messages are compiled and evaluated in the context of an image-based object memory.
Global Behavior Pools vs. First-Class Subsystems
Another
		proposal for dealing with the name space problem was explored in
		[Beaton, 1994]. This proposal uses global pool
		dictionaries to supplement the name space provided by the System Dictionary.
		The article showed how pool dictionaries (which usually contain system
		constants) could be extended to hold classes. Then, other classes can subscribe
		to these behavior pools and use the classes defined in such pools - by
		including the pool names in the poolDictionaries: portion of their class
		definitions.
While this proposal does help partition the class name space, the pools themselves are still global, and the classes defined in such pools are still public in the sense that they are still global. Such a pool-based facility is similar to C++ namespaces and the hierarchical namespaces provided in SmalltalkAgents. They provide separate domains for class names without considering whether those classes might need to be encapsulated in an object system design.
In contrast, first-class subsystems support the definition of truly private behaviors. Thus, subsystem classes support the organization and encapsulation of clusters of related classes. This facility is similar to C++ nested class. Private classes are nested within the scope of a subsystem class, which serves as the public interface for the private classes it contains. A subsystem class can provide or restrict access to the private classes it contains based on the needs of the subsystem design.
As in C++, global behavior pools and subsystems can complement each other for resolving class name conflicts and for providing behavior encapsulation. However, the remainder of this paper will focus on the benefits of subsystems and support for their implementation in Smalltalk.
The foundations for implementing first-class subsystems in Smalltalk were established in [Boyd 1993], in which subsystems were called "modules". The terms "subsystem" and "private class" serve to better describe the intentions underlying this technology. Therefore, they will be used throughout the remainder of this paper.
A Modeling Notation for Private Classes
Subsytems are useful
		for partitioning the behavior of object systems. Objects are nothing less than
		small systems. Systems are nothing more than large objects. As noted in
		[WWW 1990],
There is no conceptual difference between the responsibilities of a class, a subsystem of classes, and even an application; it is simply a matter of scale, and the amount of richness and detail in your model.
For these reasons, it would be convenient to have an object model notation that shows the relationship between objects and systems. The notations that have been proposed previously have been internal rather than external (i.e., they depict subsystems by nesting entities graphically). Such internal notations do not scale well graphically when they are applied to the design of large systems, especially when subsystems are nested (i.e., when a subsystem class contains a private subsystem class).
First-class subsystems fully contain their private classes, including their definitions. Thus, private classes can be said to be parts of their (public) subsystem class (i.e., they are aggregated at the meta-level). For this reason, the relationship between a private class and its containing subsystem class will be depicted using a variant of the OMT notation for aggregation.

Figure 1. A Subsystem Aggregates a Private Class
In figure 1, Some Subsystem is a first-class subsystem within which Some Private Class is defined. The object models used in further discussions will depict such meta-level aggregations of private classes using a special diamond (like that shown above).
Defining Subsystems and Private Classes
In addition to
		introducing a new graphical notation for depicting the design relationship
		between subsystems and private classes, this paper introduces some new message
		formats for defining subsystem classes and their private classes in
		Smalltalk.
"Define a new subsystem."
SomeSuperclass subsystem: #SomeSubsystem
instanceVariableNames: '...'
classVariableNames: '...'
poolDictionaries: '...' !Notice that subsystem classes support instance variables, class variables, and pool dictionaries, just like ordinary classes. Subsystems are first-class objects. A subsystem class is just like any other class, except that its classPool may contain private classes in addition to the usual class variables. These details will be discussed further in the Implementation section.
Hereafter, in order to simplify the class definitions, the message portions after the subclass name will be elided out. However, please remember that the entire list of message arguments is intended and supported for all such abbreviated class definitions. For example, the following partial message shows the abbreviated form of a subsystem definition.
"Define a new subsystem."
SomeSuperclass subsystem: #SomeSubsystem "..." !A private class can begin the lineage of a private class hierarchy within a subsystem. Such a private base class must be defined differently from the other private classes derived from it. In particular, such a private base class must identify not only its superclass, but also the subsystem that contains it. The following partial message shows the abbreviated form of such a private base class definition.
"Define a private base class."
AnotherSuperclass 
	  subclass: #SomePrivateClass 
	  in: SomeSubsystem "..." !Of course, private classes can also be private subsystem classes.
"Define a private subsystem class."
AnotherSuperclass 
	  subsystem: #SomePrivateSubsystem 
	  in: SomeSubsystem "..." !Once a private class hierarchy has been introduced in a subsystem, the private base class and all the subsequently derived private subclasses can be located relative to the base of the private class hierarchy. The following partial message shows the abbreviated form for defining derived private classes.
"Define a private subclass."
SomeSubsystem @ #SomePrivateClass 
	  subclass: #SomePrivateSubclass ... !"Define a private subsystem."
SomeSubsystem @ #SomePrivateClass 
	  subsystem: #SomePrivateSubsystem ... !Visibility Rules for Classes and Subsystems
The visibility and
		scoping rules for private classes are similar to those found in C++ for nested
		classes. The classes defined outside a subsystem are visible to the private
		classes defined inside a subsystem, while the private classes defined inside a
		subsystem are not (immediately) visible to the classes defined outside a
		subsystem. Also, the classes defined within a given scope of visibility are
		visible to each other. Thus, the private classes defined inside a subsystem are
		visible to each other, just as the classes defined in the System Dictionary are
		visible to each other. 
Classes defined outside a subsystem may be used directly by name in the methods of classes inside a subsystem. Class names are resolved by looking first in the local scope, and then progressing outward through the enclosing scopes until the named class is found.
The binary message @ serves a role similar to that of the scope resolution operator :: in C++. It can be used to locate a private class relative to its enclosing scope(s). Compare the following Smalltalk and C++ expressions:
Smalltalk	( SampleManager @ #SamplePrivateClass )
C++		( SampleManager :: SamplePrivateClass )Designing Object-Oriented Software Systems
Subsystems provide
		a coherent way to design and organize Smalltalk classes that collaborate
		closely. Several examples of subsystem designs are included in
		[WWW 1990]. Pages 151-152 describe the organization
		of a subsystem for managing transactions against financial accounts. Figure 2
		shows how this subsystem may be modeled using the new notation for meta-level
		aggregation. 

Figure 2. Financial Management
		Subsystem
The class definitions for the financial management classes include the following:
Object 
	  subsystem: #FinancialManager "..." !
Object 
	  subclass: #Account in: FinancialManager "..." !
Object 
	  subclass: #Transaction in: FinancialManager "..." !
FinancialManager @ #Transaction
	  subclass: #BalanceInquiry "..." !
FinancialManager @ #Transaction 
	  subclass: #FundsDeposit "..." !
FinancialManager @ #Transaction 
	  subclass: #FundsWithdrawal "..." !
FinancialManager @ #Transaction 
	  subclass: #FundsTransfer "..." !
Subsystems and the Façade Pattern
First-class
		subsystems can be used to implement the Façade pattern described in
		[GHJV 1995].
The Façade pattern provides a unified interface to a set of interfaces in a subsystem. The Façade pattern defines a higher-level interface that makes the subsystem easier to use.
Depending on the needs of clients, designers can either expose or hide the services provided by the private classes hidden behind the Façade.
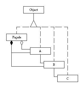
Figure 3 below shows a Façade class which uses instances of two private classes and an instance of one public class (defined outside the subsystem). Each instance of the Façade class owns an instance of one of the private classes, while that instance owns an instance of the other private class, which in turn owns an instance of the public class.

Figure 3. Object Model for a
		Façade
This model also serves as an example of the visibility and scoping rules. The Façade can see classes A, B, and C. Classes A and B can see class C (which is public), but class C cannot see classes A and B (which are private).
Private Methods and Client
		Contracts
Smalltalk systems use classes to encapsulate the structure and
		state of objects. However, while Smalltalk classes encapsulate the state of
		their instances, they do not encapsulate their behavior. All the methods of a
		class are effectively public.
Traditionally, a Smalltalk developer indicates that a method is intended for the private use of the implementing class using the notation "Private" at the beginning of the method comment. This convention requires the client developer to inspect the source code of the method in order to discover whether a method is intended for public usage.
In systems that support method organization (i.e., protocols), the method developer can organize the method in a protocol whose name indicates that the methods are private. However, Smalltalk does not enforce the privacy indicated by either of these conventions. So, client developers sometimes use the private methods anyway, and thereby create dependencies that the class designer did not intend to permit nor support.
In Smalltalk, it is not always clear what such privacy means anyway. For example, should subclasses be restricted from using private methods they inherit from their superclasses? While C++ provides explicit access control mechanisms for public, protected and private members, Smalltalk does not provide any mechanisms for access control.
It can be argued that the traditional notions of access in object-oriented systems are simplified ways of specifying the class of the clients that are permitted to use the methods of a server class. The following table suggests how access relates to clients.
| Access | Implied Client Specification | 
| private . . . . | only the implementing class | 
| protected . . | the implementing class and all derived classes | 
| promised . . | some specific collaborating class (which need not be related by inheritance) | 
| public . . . . . | any class (without regard for inheritance) | 
This table formalizes a notion that has appeared repeatedly in the literature on object-oriented design, what can be called promised behavior. The classes that collaborate closely within a subsystem often exhibit promised behavior, especially when the classes in the subsystem form contractual agreements regarding their services. Thus, it would be advantageous to object system designers if object-oriented languages incorporated and enforced access mechanisms based on client specifications to establish such formal contracts. Object-oriented languages would improve their ability to model such contracts if they were extended beyond the traditional support for only private, protected, and public access (which are supported by languages like C++ and Java). Indeed, private, protected and public access mechanisms can be conceived of as specific kinds of promised contracts in the following manner (with respect to a given server class).
| Access | Equivalent Contract | 
| ServerClass private | ServerClass promisedTo: ServerClass only | 
| ServerClass protected | ServerClass promisedTo: ServerClass any | 
| ServerClass public | ServerClass promisedTo: nil | 
Note that public methods are promised to nil because the class Object and all other root classes are derived from nil - i.e., all the root classes have no superclass. Thus, public methods are available to any other defined method, whether the method is defined in a class derived from Object, or any other root class.
Private Classes for Private Methods
The following discussion
		describes how you can use private classes to implement private methods - even
		without direct language support for private methods. First, build the public
		interface using an instance of a subsystem class. The subsystem instance
		contains a single instance variable. The instance variable contains an instance
		of a private class. The private class contains those methods you want hidden.
		When the public class (the subsystem) is instantiated, it creates and holds an
		instance of the private class. Each of the public methods (in the public class)
		uses the private methods supplied by the instance of the private class. Figure
		4 shows this arrangement using an object model.

Figure 4. ClassFiler as a Façade
The class definitions for this Façade include the following.
Object 
	  subsystem: #ClassFiler
instanceVariables: 'privateFiler'
classVariables: ''
poolDictionaries: '' !
Object 
	  subclass: #PrivateFiler 
	  in: ClassFiler
instanceVariables: 'behavior'
classVariables: ''
poolDictionaries: '' !IMPLEMENTATION
This section
		outlines how the facility for defining subsystems and private classes can be
		added to Visual Smalltalk. We will focus on those
		aspects of the Behavior classes that change when subsystems are added. First,
		note how the baseline Behavior classes are organized in figure 5. Behavior
		inherits from Object. Class and MetaClass inherit from Behavior. Object class
		inherits from Class. The other metaclasses of the subclasses of Object inherit
		from Object class. 

Figure 5. Baseline Behavior Classes
Generally speaking, the class and metaclass inheritance hierarchies parallel each other. Thus, for example
Point superclass == Object
Point class superclass == Object class.However, there is an anomaly at class Object, where
Object superclass == nil
Object class superclass == Class.Subsystems and private classes require some minor alterations to these baseline relationships. As noted previously, each subsystem is a class. While an ordinary class uses a Dictionary for its classPool, a subsystem class uses a Subsystem Dictionary. Each Subsystem Dictionary provides a unique domain for the private classes and class variables of the subsystem. Private class names are mapped to Private Classes while class variable names are mapped to class variables. Figure 6 provides a model of these relationships.

Figure 6. Class vs. "Subsystem" Class
Each Private Class knows its class (a Private MetaClass). Each Private MetaClass knows its subsystem (a subsystem class). Thus, indirectly, each Private Class know the enveloping subsystem class. Given the foregoing relationships, figure 7 shows the relationships for the new Behaviors.

Figure 7. Behavior Extensions for Private
		Classes
In particular, note how
( Object class superclass == PrivateClass ).This relationship replaces the normal baseline relationship, where
( Object class superclass == Class ).The methods of Private Class always check to see whether the derived metaclass is an instance of MetaClass or Private MetaClass before responding. Thus, the behavior of private classes can be inserted into the baseline Behaviors transparently.
The methods for Private Class could be integrated into and replace the ones they override in Class. However, putting them in Private Class leaves the original baseline methods intact in Class. This permits investigators to examine the difference between the baseline methods and the new ones.
Also, because each private metaclass knows the subsystem to which it belongs, the compiler can identify the scopes that enclose the private behaviors (class and metaclass). This simplifies changes to the compiler interface to extend the visibility rules and resolve class name into classes.
Benefits of Subsystems and Private Classes 
Software
		developers need language facilities that provide design options. This is one of
		the reasons that C++ has evolved so much over the past several years. Some of
		the recent additions (nested classes, templates, namespaces, runtime type
		information) show progress toward features found in pure object-oriented
		systems like Smalltalk, and even some advances over features in Smalltalk. 
Two of these C++ features directly address the class naming problem in complementary ways: namespaces and nested classes (i.e., private classes). This paper has considered how support for private classes can be added to Smalltalk in conjunction with first-class subsystems.
Subsystem classes provide an additional design dimension over that provided by ordinary classes. Subsystems and their private classes permit you to:
[Beaton, 1994] Wayne Beaton. Name Space in Smalltalk/V for Win32 in The Smalltalk Report 4(1). SIGS Publications, September 1994.
[Boyd, 1993] Nik Boyd. Modules: Encapsulating Behavior in Smalltalk in The Smalltalk Report 2(5). SIGS Publications, February 1993.
[GHJV, 1995] Erich Gamma, Richard Helms, Ralph Johnson, John Vlissides. Design Patterns: Elements of Reusable Object-Oriented Architecture. Addison-Wesley, 1995.
[Wirfs-Brock, 1988] Allen Wirfs-Brock, Brian Wilkerson. An Overview of Modular Smalltalk in OOPSLA Conference Proceedings. ACM, September 1988.
[WWW, 1990] Rebecca Wirfs-Brock, Brian Wilkerson, Lauren Weiner. Designing Object-Oriented Software. Prentice-Hall, 1990.
Trademarks
Visual Smalltalk is a
		trademark of ParcPlace-Digitalk,
		Inc.
SmalltalkAgents is a trademark of Quasar Knowledge System, Inc.
Smalltalk MT is
		a trademark of Object Connect,
		SARL